Typefully

דינמיקה של חוב ממשלתי

Avatar

Share

 • 

3 years ago

 • 

View on X

כמובטח, לפניכם שרשור על הדינמיקה של החוב הממשלתי. יש מצב טוב שאני חורג בשרשור הזה מכללי הפורמט מבחינת העומס, אבל מדובר לדעתי בנושא חשוב ששווה את המאמץ. בנוסף ההסבר שלו יכול לשמש בסיס לדיון המשך בנושאים קשורים. 🧵1/25 twitter.com/itamarcaspi/status/1569006550584553472?s=20&t=Yw1CYL6SrSyAyqa2ghK_UQ
לפני הכל, אזהרה: השרשור הבא פדגוגי באופיו. לשם כך, אעשה שימוש במשוואות וקצת אלגברה כדי לדייק את הדברים. לא מדובר במדע טילים, אבל כן דורש טיפלה יותר מעקב מהשרשור החציוני בטוויטר. יאללה מתחילים:
הגירעון הממשלתי הוא הפער בין הוצאות הממשלה והכנסותיה במהלך פרק זמן מסוים (לרוב שנה). כאשר הוצאות הממשלה גדולות מהכנסותיה בשנה מסוימת, הגירעון חיובי, ולהיפך. גרעון שלילי הוא למעשה עודף.
ממה מורכב הגירעון? ובכן, ההוצאות של הממשלה כוללות למשל תשלומי שכר לעובדיה, רכישות בטחוניות, וכו'. לצד זאת, על הממשלה לשלם ריבית על החוב שצברה (עוד על החוב בהמשך). מנגד, הכנסות המדינה הן בעיקר ממיסים (מס הכנסה, מע"מ, מס רכוש וכו'), בניכוי תשלומי העברה (קצבאות, דמי אבטלה וכד').
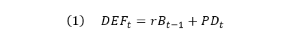
להלן נוסחה פורמלית שמגדירה את הגירעון הממשלתי:
לשם נוחות, נסמן את G-T על ידי PD (קיצור של "primary deficit") שהוא הגירעון הממשלתי בניכוי תשלומי ריבית על החוב. בהתאמה, משוואת הגירעון החדשה שלנו (נסמן אותה על ידי הספרה 1) תהיה
שאלה מתבקשת כעת היא – כיצד הממשלה מממנת את הגירעון שלה? כלומר מהיכן מגיע הכסף שמאפשר לה להוציא יותר ממה שהכניסה? ומה היא עושה במצב בו היא מסיימת את השנה עם עודף? היכן היא "חוסכת" את הכסף? התשובה היא "חוב".
כשהממשלה בגירעון היא *חייבת* לממן אותו. הדרך לממן אותו היא על ידי הנפקת אגרות חוב ממשלתיות (זו הדרך של הממשלה ללוות כסף מהציבור). במילים אחרות, הממשלה לווה מהציבור את הכסף שהיא צריכה על מנת לממן את ההוצאות העודפות שלה (ביחס להכנסה) ומבטיחה להחזיר אותו בעתיד עם ריבית r.
החוב הממשלתי הוא למעשה הסכום המצטבר של גירעונות העבר. בפרט, כשהגירעון חיובי, החוב גדל (כיוון שהממשלה חייבת ללוות בכדי לממן את הוצאותיה). מנגד, כשהגירעון שלילי (כלומר כשיש עודף) החוב קטן.
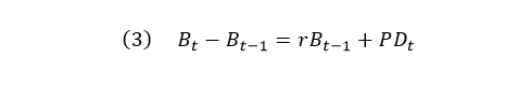
הגדרת החוב מתארת למעשה את מגבלת התקציב של הממשלה בכל שנה ושנה – הגירעון הוא למעשה השינוי בחוב בין שנה לשנה עוקבת. להלן המשוואה שמתארת את מגבלת התקציב של הממשלה (אותה נסמן בספרה 2):
(הערה: בדיון הציבורי חל לפעמים בלבול בין הגירעון, שהוא משתנה זרם, לחוב, שהוא משתנה מלאי. בפרט, כשהגירעון שלילי בשנה מסויימת, כלומר כשיש לממשלה עודף, אין זה אומר שהיא פתאום לא חייבת כלום, אלא שלכל היותר היא הקטינה את החוב שלה בגודל העודף).
לשם המחשת עניין הגירעון והחוב, מצורפים גרפים של הגירעון/עודף והחוב של הממשל הפדרלי בארה"ב החל משנות ה-80 של המאה הקודמת. כפי שניתן לראות, כשהגירעון חיובי (ערכים שליליים באיור) החוב גדל, ולהיפך. fred.stlouisfed.org/graph/?g=Tfpl fred.stlouisfed.org/graph/?g=TDSn
החוב והגירעון בדולרים נראים עצומים, אבל קשה להסיק מהם משהו לגבי רמת הסיכון שלהם מבלי שאנחנו יודעים משהו על כושר ההחזר של המדינה הלווה. כשמדובר במדינה, כושר ההחזר לרוב מקורב על די התוצר.
כך למשל, יתרת חוב כ-30 טריליון דולר כשהמדינה הלווה היא ארה"ב נראה קצת פחות מפחיד מאותה רמת חוב עבור מדינה בעלת תוצר נמוך יותר כמו ישראל הקטנה.
בשל כך, החוב והגירעון במונחי תוצר מהווים מדדים טובים יותר למדידת רמת הסיכון של החוב כיוון שהם מותאמים לכושר ההחזר של המדינה. הנה למשל השוואה של יחס החוב-תוצר של מדינות ה-OECD בשנים 1995-2021, כשהקווים הבולטים מסמנים את ארה"ב וממוצע ה-OECD. data.oecd.org/chart/6Ozv
(הערה: ממשלות, בניגוד למשקי בית, הן בעלות אופק תפעול ארוך מאוד ולכן עיקר עיסוקן בהקשר החוב הוא גלגול חוב ולא החזר. בפרט, השאיפה היא לרוב לייצב את יחס החוב-תוצר על רמה מסויימת ולא להגיע למצב של אפס חוב). twitter.com/itamarcaspi/status/1483903712099721223?s=20&t=HuOOy_C-9neWJbZqaCDDmA
חזרה לאלגברה. אם נשלב את משוואת הגירעון (1) ומגבלת התקציב של הממשלה (2) בכדי להיפטר מ-DEF, נקבל את המשוואה הבאה (אותה נסמן בספרה 3) שמתארת את התפתחות החוב על פני זמן:
כאמור, התפתחות יחס החוב-תוצר יותר מעניינת אותנו מהתפתחות רמת החוב. ניתן להמיר את משוואת התפתחות החוב (3) למשוואה שמתארת את התפתחות יחס החוב-תוצר על ידי חלוקת שני צדי המשוואה בתוצר תחת ההנחה שקצב צמיחת התוצר, המסומן על ידי g קבוע.
אחסוך מכם כעת את האלגברה ואציג את המשוואה שלשמה התכנסנו - משוואה דינמית של יחס החוב-תוצר ( חישוב מפורט יותר נמצא ב"נספח" שבסוף השרשור):
עכשיו כשיש בידינו סופסוף משוואה שמתארת את התפתחות יחס החוב-תוצר, אפשר לציין שלוש מסקנות ראשוניות: 1. בהינתן שאר הדברים קבועים, עלייה בריבית על החוב r מגדילה את יחס החוב-תוצר (אין יותר טריוויאלי מזה...)
2. בהינתן שאר הדברים קבועים, עלייה בקצב צמיחת התוצר g מקטינה את יחס החוב-תוצר. מדוע? טכנית, התוצר נמצא במכנה של יחס החוב-תוצר. כשהמכנה ביחס גדל בקצב מהיר יותר, היחס כולו קטן. 3. בהינתן שאר הדברים קבועים, עלייה בגירעון בניכוי תשלומי ריבית באחוזי תוצר (pd) מגדילה את יחס החוב-תוצר.
(הערה: בטקסטבוק של בלנשרד, מופיעה הטבלה הבא שמתארת את התפתחות יחס החוב-תוצר של ארבע מדינות נבחרות בשנים שלאחר מלחמת העולם השנייה. בולטת שם במיוחד בריטניה שעברה מ-240 ל-47. שימו לב שהירידה החדה ביחס עבור כל המדינות נבעה מהעובדה שקצב הצמיחה שלהן היה גדול מאוד ביחס ל-r.)
כאמור, המשוואה שפיתחנו בסיסית וכך גם המסקנות. אף על פי כן, ניתן לבנות על הניתוח הנ"ל בכדי לענות על שאלות כגון: מהי רמת החוב האופטימלית? האם בכלל קיימת רמה אופטימלית? מה קורה כשיש לנו אי וודאות לגבי r ו-g? מה קורה כש-r<g? מה קורה כאשר r ו-g מושפעים ממדיניות החוב של הממשלה? ועוד.
בשרשור הנוכחי לא נענה על שאלות אלו, אבל מקווה שנגיע לזה בהמשך. לבינתיים, מצורף לינק לקובץ google sheets שכולל "סימולציה" פשוטה של יחס החוב-תוצר ל-100 תקופות (שנים אם תרצו) תחת ההנחה שהריבית וקצב צמיחת התוצר קבועים וידועים מראש. docs.google.com/spreadsheets/d/1grb2eQ22PCEozOXMO8e984YtWsmk9dtYtV4E188JPrM/edit?usp=sharing
במצב המוצא בקובץ, החוב יציב על פני זמן כיוון שהגירעון בניכוי הוצאות ריבית (עודף במקרה הזה) מכסה בדיוק את הוצאות הריבית על החוב. מה יקרה אם בשנה השנייה נגדיל את הגירעון הראשי pd חד-פעמית ב-10 אחוזי תוצר בגלל משבר ואח"כ נשוב לתקציב מאוזן (גירעון אפס)? שחקו ותגלו!
ולסיום, כיאה למשהו שנראה כבר בכיוון של "מאמר" טוויטר, הנה הנספח אונליין שכנראה אף אחד לא יקרא ובו מתואר המעבר בין משוואת התפתחות החוב למשוואת התפתחות יחס החוב-תוצר.
Avatar

Itamar Caspi

@itamarcaspi

Senior economist #BankOfIsrael | Alumni @Kennedy_School | Adjunct lecturer @HebrewU | Co-org @vimacro_org | #YNWA | Opinions mine. rt/like/follow≠endorsement.